Minggu, 01 September 2019

Contoh Soal Eliminasi 3 Variabel Pecahan

Artikel ini berisi kumpulan contoh soal dan jawaban spltv sistem persamaan linear tiga variabel dengan metode subtitusi. Selain metode metode tersebut kita juga dapat menggunakan metode determinan matriks dalam menyelesaikan sistem persamaan linier tiga variable.

Soal Dan Pembahasan Sistem Persamaan Linier Tiga Variabel 1

Guru sd smp sma contoh soal matematika eliminasi 3 variabel.

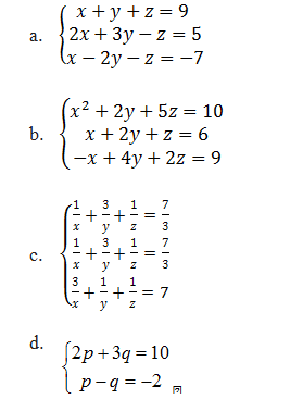
Contoh soal eliminasi 3 variabel pecahan. Metode eliminasi untuk menyelesaikan soal persamaan linear metode eliminasi merupakan metode dimana kita menghilangkan atau melenyapkan salah satu variabel agar menjadi satu variabel yang tersisa. X 3y 2z 16 2x 4y 2z 12 x y 4z 20 pembahasan. Maka bentuk spltv pecahan di atas menjadi seperti berikut.

Sistem persamaan linear tiga variabel dan contoh soal penerapannya. Nilai p yang memenuhi persamaan 4 3 20 2 3 adalah a. Kita tentukan variabel mana yang akan kita eliminasi terlebih dulu.

Dengan menggunakan metode eliminasi tentukan himpunan penyelesaian sistem persamaan linear tiga variabel berikut ini. Langkah pertama kita tentukan variabel apa yang akan kita eliminasi terlebih dahulu. Simak terus bersama partner studi matematika.

Ada beberapa cara dalam menyelesaikan persamaan linier tiga variabel yaitu dengan menggunakan metode substitusi eliminasi bertingkat ataupun gabungan eliminasi substitusi. Contoh soal pembahasan spltv bentuk pecahan blog matematika. Artikel ini berisi contoh soal dan pembahasan cara menentukan himpunan penyelesaian hp sistem persamaan linear 3 variabel spltv yang berbentuk pecahan.

Ada beberapa cara yang sering digunakan dalam menyelesaikannya yakni diantaranya adalah cara eliminasi substitusi gabungan eliminasi substitusi maupun grafik. Contoh file soal uts lengkap kelas 1 6 sdmi semua mata pelajaran 20162017 berikut ini adalah kumpulan dari berbagi sumber tentang contoh soal matematika eliminasi 3 variabel yang bisa gunakan untuk bank soaldownloadsd dan diunduh secara gratis dengan menekan tombol download biru dibawah ini. Untuk mempermudah lihat variabel yang paling sederhana.

4 3 201 2 3 2 pilih salah satu persamaan misalnya persamaan 2 kemudian nyatakan salah satu variabelnya dalam bentuk variable yang lain. Untuk mempermudah lihat peubah yang paling sederhana. Bentuk umum sistem persamaan linear tiga variabel.

Dan variabel yang akan dihilangkan haruslah variabel yang memiliki koefisien yang sama jadi jika variabel tersebut tidak memiliki koefisien yang.

Soal Dan Pembahasan Sistem Persamaan Linier Tiga Variabel 1

Un Sma Matematika 2017 Prediksi Pembahasan No 23 Persamaan Linear Tiga Variabel

Soal Dan Pembahasan Sistem Persamaan Linier Tiga Variabel 1

Soal Dan Pembahasan Sistem Persamaan Linier Tiga Variabel 1

Contoh Penyelesaian Sistem Persamaan Dua Variabel Dalam

Soal Dan Pembahasan Sistem Persamaan Linier Tiga Variabel 1

Sistem Persamaan Linear Tiga Variabel Berbentuk Pecahan

Sistem Persamaan Linear Tiga Variabel Dan Contoh Soal

Soal Dan Pembahasan Sistem Persamaan Linier Tiga Variabel 1

Sistem Persamaan Linear Tiga Variabel Dan Contoh Soal

Tutorial Sistem Persamaan Linier Dua Variabel Bentuk Pecahan Matematika Sma

Sistem Persamaan Linear Tiga Variabel Dan Contoh Soal

Sistem Persamaan Linear Dua Variabel Pecahan 3x 1 2y 4

Pembahasan Soal Sistem Persamaan Linier Dua Variabel Bentuk Pecahan Matematika Sma

Penyelesaian Sistem Persamaan Linear Tiga Variabel Dengan

Persamaan Linear Tiga Variabel Rumus Contoh Soal Dan

Isi Apm Sistem Pertidaksamaan Dua Variabel Linier Kuadrat

Soal Dan Pembahasan Sistem Persamaan Linier Tiga Variabel 1

Sistem Persamaan Linear Tiga Variabel Dan Contoh Soal

Materi Matematika Kelas X Sma Sistem Persamaan Linear Tiga

Contoh Soal Dan Pembahasan Sistem Persamaan Linear Dua

Sistem Persamaan Linear Dua Variabel

Sistem Persamaan Linear Tiga Variabel Ciri Syarat

Kumpulan Soal Dan Pembahasan Sistem Persamaan Linier Dua

Skl 2 Tentang Spldv Dan Sptldv Un Matematika Suka Suka

Soal Dan Pembahasan Sistem Persamaan Linear 1 2 Istana

Sistem Persamaan Linear Tiga Variabel Ciri Syarat

Sistem Persamaan Linear Tiga Variabel Mudah Dan Jelas

Contoh Penyelesaian Sistem Persamaan Dua Variabel Dalam

Sistem Persamaan Linear Dua Variabel

Kumpulan Soal Dan Pembahasan Sistem Persamaan Linier Dua

Bank Soal Matematika Kelas X Sma Sistem Persamaan Linear

Sistem Persamaan Linear Tiga Variable Dengan Metode Eliminasi

Menyelesaikan Persamaan Linier Tiga Variabel Dengan Metode

Soal Dan Pembahasan Sistem Persamaan Linear Tiga Variabel

Matematika Metode Eliminasi Spldv

Menyelesaikan Persamaan Linier Tiga Variabel Dengan Metode

Kumpulan Soal Dan Pembahasan Sistem Persamaan Linier Dua

Penyelesaian Sistem Persamaan Linear Tiga Variabel Dengan

Sistem Persamaan Linear Tiga Variabel Dan Contoh Soal

Sistem Persamaan Linear Dua Variabel

Sistem Persamaan Linear Tiga Variabel Ciri Syarat

Soal Dan Pembahasan Sistem Persamaan Linear Tiga Variabel

Menentukan X Y Z Dari Spltv Variabel Di Bawah Bse Matematika Sma Kelas 10 K13 Uk 3 3 No 09d

Doc Sistem Persamaan Dan Pertidaksamaan Linear Satu

Contoh Soal Spldv Archives Dosen Mipa

5 Macam Metode Menentukan Penyelesaian Spltv Contoh Soal

Sistem Persamaan Linear Tiga Variabel Ciri Syarat

Cara Kilat Operasi Hitung Pecahan Jumlah Kurang Kali Bagi Soal

Sistem Persamaan Linear Dua Variabel

Persamaan Linear Tiga Variabel Bse K 13 Uk 3 2 No 02

Pelajaran Soal Rumus Metode Eliminasi Wardaya College

Pdf Kumpulan Soal Dan Pembahasan Sistem Persamaan Linier

Persamaan Linear 1 2 3 4 Variabel Matematika Contoh Soal

Sistem Persamaan Linear 1 2 3 Variabel Eliminasi Substitusi

Bank Soal Matematika Kelas X Sma Sistem Persamaan Linear

2 Gunakan Metode Seperti Pada Kegiatan Ayo Kita Amati Pada

Kumpulan Soal Dan Pembahasan Sistem Persamaan Linier Dua

Sistem Persamaan Linear Dua Variabel Pecahan 3x 1 2y 4 Dan 1 3x 1 4y 2

Cara Mudah Penyelesaian Spldv Menggunakan Metode Eliminasi

Penjelasan Lengkap Metode Substitusi Dan Eliminasi Rumus

Metode Substitusi Menyelesaikan Sistem Persamaan Linear

Persamaan Linear Dua Variabel Dan Contoh Soalnya

Rumus Dan Cara Menyelesaikan Sistem Persamaan Linear Dua

Cara Kilat Operasi Hitung Pecahan Jumlah Kurang Kali Bagi Soal

Spltv Pengertian Materi Ciri Rumus Contoh Soal

Kumpulan Soal Dan Pembahasan Sistem Persamaan Linier Dua

Cara Menentukan Himpunan Penyelesaian Sistem Persamaan

Metode Gabungan Menyelesaikan Sistem Persamaan Linear

Sistem Persamaan Linier Satu Dua Tiga Variabel Materi

Contoh Soal Dan Pembahasan Sistem Persamaan Linear Dua

Contoh Soal Pembahasan Spltv Bentuk Pecahan Blog Matematika

Pelajaran Soal Rumus Metode Eliminasi Wardaya College

Contoh Soal Sistem Persamaan Linear 3 Variabel

Cara Menyelesaikan Persamaan Linear Tiga Variabel Spltv

Sistem Persamaan Linear Dua Variabel Spldv

5 Cara Untuk Menyetarakan Pecahan Wikihow

Sistem Persamaan Linear 1 2 3 Variabel Eliminasi Substitusi

Matematika Kelas 8 Cara Menyelesaikan Sistem Persamaan

3 Cara Untuk Menyelesaikan Persamaan Kuadrat Wikihow

Persamaan Linear Tiga Variabel Rumus Contoh Soal Dan

Menyelesaikan Persamaan Linear Satu Variabel Plsv

Pengertian Dan Contoh Soal Sistem Persamaan Linear Dua

Sistem Persamaan Linier Satu Dua Tiga Variabel Materi

Sistem Persamaan Linear Dua Variabel

Sistem Persamaan Linear Dan Pertidaksamaan Satu Variabel

Sistem Persamaan Linear Tiga Variabel Metode Eliminasi

Contoh Soal Matematika Sistem Persamaan Linear

Cara Mudah Menentukan Penyelesaian Spltv Bentuk Pecahan

3 Cara Untuk Menyelesaikan Sistem Persamaan Aljabar Yang

Pelajaran Soal Rumus Integral Fungsi Pecahan Wardaya

Pdf Sistem Persamaan Linier Ahmad Nizar Academia Edu

Metode Gabungan Untuk Menyelesaikan Spldv Bangku Sekolah

Persamaan Linear Tiga Variabel Rumus Contoh Soal Dan

Cara Menentukan Himpunan Penyelesaian Sistem Persamaan

Smk10 Matematika Toali Pages 51 100 Text Version Fliphtml5

Menyelesaikan Persamaan Linear Satu Variabel Plsv

5 Soal Dan Pembahasan Persamaan Linear Dua Variabel Bentuk

Sistem Persamaan Linear Dua Variabel Apa Itu Sistem


Tidak ada komentar:

Posting Komentar

Iklan Atas Artikel

Iklan Tengah Artikel 1

Iklan Tengah Artikel 2

Iklan Bawah Artikel