Minggu, 04 Oktober 2020

Contoh Soal Turunan Dy/Dx

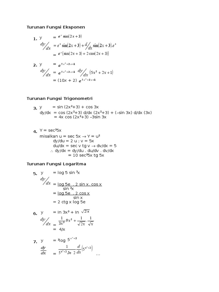
Contoh Soal Turunan Dy/Dx. Savesave contoh soal anti turunan for later. Namun materi turunan fungsi matematika seperti materi turunan fungsi aljabar, materi turunan trigonometri dan.

Modul Persamaan Diferensial 1
Modul Persamaan Diferensial 1 from image.slidesharecdn.com
Fungsi rumus parsial aljabar implisit.pembahasan mengenai turunan perlu untuk dipelajari. Secara umum, turunan menyatakan bagaimana suatu besaran berubah akibat perubahan besaran lainnya; Soal dan pembahasan turunan fungsi trigonometri.

Contoh soal turunan fungsi aljabar.

Notasi dari turunan fungsi y adalah y' atau dy/dx. Bagaimana cara mengerjakan soal seperti itu? Konsep, contoh soal dan pembahasan turunan fungsi aljabar. Dengan menggunakan konsep limit yang telah kalian pelajari, kalian akan dengan mudah.

Tidak ada komentar:

Posting Komentar

Iklan Atas Artikel

Iklan Tengah Artikel 1

Iklan Tengah Artikel 2

Iklan Bawah Artikel